Shopping cart

Subtotal: $318.00

View cart Checkout

Product Details

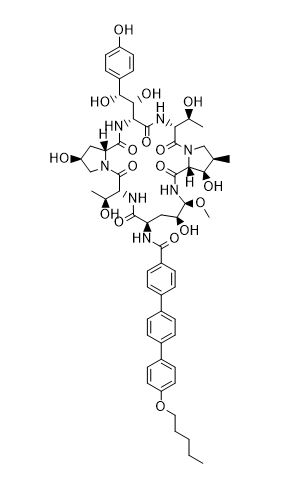
Anidulafungin Impurity D

  • Home
  • Product Details
Project Image

Anidulafungin Impurity D

Anidulafungin

Product Code DAL
CAS NO 185425-47-2
Molecular Formula C59H75N7O17
Molecular Weight 1154.3
Chemical Name N-((2R,6S,9S,11R,12R,14aS,15S,16S,20S,23S,25aS)-23-((1S,2S)-1,2-Dihydroxy-2-(4-hydroxyphenyl)ethyl)-2,11,15-trihydroxy-6,20-bis((R)-1-hydroxyethyl)-12-methoxy-16-methyl-5,8,14,19,22,25-hexaoxotetracosahydro-1H-dipyrrolo[2,1-c:2',1'-l][1,4,7,10,13,16]hexaazacyclohenicosin-9-yl)-4''-(pentyloxy)-[1,1':4',1''-terphenyl]-4-carboxamide
Status in-stock
Quote