Shopping cart

Subtotal: $318.00

View cart Checkout

Product Details

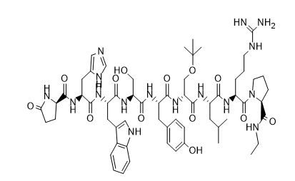
Buserelin EP Impurity B

  • Home
  • Product Details
Project Image

Buserelin EP Impurity B

Buserelin

Product Code DAL
CAS NO 1926163-21-4
Molecular Formula C60H86N16O13
Molecular Weight 1239.4
Chemical Name [4-D-serine]buserelin (as per EP)
Status in-stock
Quote