Shopping cart

Subtotal: $318.00

View cart Checkout

Product Details

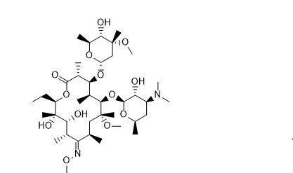
Clarithromycin EP Impurity E

  • Home
  • Product Details
Project Image

Clarithromycin EP Impurity E

Clarithromycin

Product Code DAL
CAS NO 81103-14-2
Molecular Formula C39H71NO13
Molecular Weight 761.98
Chemical Name (3R,4S,5S,6R,7R,9R,11R,12R,13R,14R)-6-(((2S,3R,4S,6R)-4-(Dimethylamino)-3-hydroxy-6-methyltetrahydro-2H-pyran-2-yl)oxy)-14-ethyl-13-hydroxy-4-(((2R,4R,5S,6S)-5-hydroxy-4-methoxy-4,6-dimethyltetrahydro-2H-pyran-2-yl)oxy)-7,12-dimethoxy-3,5,7,9,11,13-hexamethyloxacyclotetradecane-2,10-dione
Status in-stock
Technical Data Technical Docs
Quote