Shopping cart

Subtotal: $318.00

View cart Checkout

Product Details

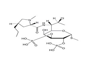
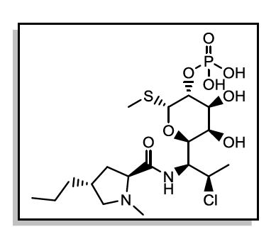
Clindamycin Phosphate EP Impurity E

  • Home
  • Product Details
Project Image

Clindamycin Phosphate EP Impurity E

Clindamycin

Product Code DAL
CAS NO 18323-44-9
Molecular Formula C18H33ClN2O5S
Molecular Weight 424.98
Chemical Name (S,Z)-N-((1S,2S)-2-chloro-1-((2R,3R,4S,5R,6R)-3,4,5-trihydroxy-6- (methylthio)tetrahydro-2H-pyran-2-yl)propyl)-1-methyl-4-propylidenepyrrolidine-2- carboxamide
Status in-stock
Technical Data Technical Docs
Quote